
10 October, 2024
Author - Tim Smithies
Posted: 12 November, 2021
The global popularity of competitive video game play events known as esports has seen them rivalling and often surpassing the viewership of major traditional sports events. Esports cover the wide range of multiplayer video games played competitively for spectators. My research uses statistical models to uncover performance indicators in esports and explores how health-related behaviours and interventions can improve players’ gaming quality and experience.
In my most recent publication, I applied state-of-the-art machine learning techniques to a large sample of in-game data from the popular esport ‘Rocket League’. In doing so, I was able to statistically model this esports’ complex interactions and therefore uncover key in-game factors that are associated with good or poor performance, as well as factors that differentiate players at different ‘ranks’ or expertise levels.
While the use of statistical techniques to uncover the factors that lead to successful outcomes in traditional sports is common, I was surprised to find that there were very few attempts to translate this approach to esports. Esports are well suited to this ‘notational analysis’ approach because in-game data is often extensive and readily available. Given major esports events are now rivalling and often surpassing the viewership and popularity of major traditional sports events, it appeared obvious that there is great value in understanding what underlies performance in different esports.
The publication is the first to use Random Forest models to uncover performance indicators in esports, and so provides a framework for the future use of this contemporary and ideally suited tool when exploring markers of performance in other esports. Future notational analysis studies in esports can draw from our approach here to guide their analyses. It also provides outcome measures to use for any researchers that wish to explore the effect of an intervention directly on esports performance.
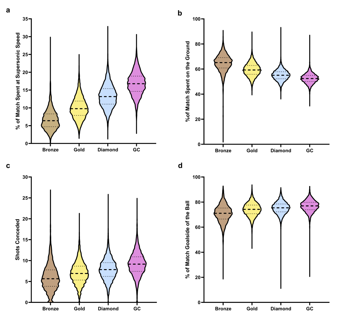
These violin plots show the mean and distributions, within different in-game ranks (and hence expertise levels), for the four in-game metrics that best differentiate players of different in-game ranks. These metrics are (a) time spent at supersonic speed, (b) time spent on the ground, (c) shots conceded, (d) time spent goalside of the ball.
In terms of importance outside of the research sphere, our findings can provide value to Rocket League players or coaches looking to improve in-game performance. Because we performed our analysis on data at multiple different ability levels (or ‘in-game ranks’), our results are applicable from novices to pros and everywhere in between.
The findings in this publication will inform the focus of my ongoing PhD research at the University of Limerick, where I am an Irish Research Council Employment-Based postgraduate scholar with Logitech as my employment partner. My PhD is centred around understanding how sleep loss directly affects esports performance. To best do this, we need to establish in-game measures that we know are highly relevant to performance in a popular esport, and which are suitable for an experimental setting. Rocket League is well suited for this, and our recent research provides us with the optimal in-game outcome measures needed.
A significant challenge in esports performance research is understanding what directly impacts esports performance in-game, and to what degree. While there is a growing interest in understanding what human factors influence esports performance, very few studies have focused on game-specific outcome measures, and of those, even less have demonstrated that their specific outcome measures are actually reflective of in-game performance or ability. I believe that a true appreciation of the importance of health-related behaviours / interventions (i.e. sleep extension) from players and esports organisations is unlikely until such interventions are shown to directly impact in-game performance. This is a challenge we are aiming to tackle both with my research and other groups of research at the Esports Science Research Lab in Lero, The Science Foundation Ireland Research Centre for Software at the University of Limerick.
As an IRC Employment-Based postgraduate scholar, I have found that having an industry partner with direct contact to professional esports athletes and organisations has been beneficial in understanding the practical issues at hand in the world of esports and how we can go about both quantifying and tackling them. More generally, the financial support that has been provided by the Irish Research Council has been what has enabled me to pursue this line of research.
The opinions expressed here are those of the author and do not represent or reflect the views of the Irish Research Council.